当前位置:首页 » VB程序题 » 正文

VB程序题:计算π的近似值,π的计算公式为:分别显示当n=10,100,100时π的结果

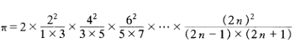
VB程序题:计算π的近似值,π的计算公式为:


注意:
1.分别显示当n=10,100,100时的结果,由此可见,此计算公式收敛程序?
2.同时要防止相乘时结果溢出的问题,将变量类型改为长整型或实数类型。

 

解题,在界面上按1个按钮,代码如下:

Private Sub Command1_Click()
    Dim n&, pi#, i& ’n定义为长整型,pi定义为双精度型,i定义为长整型
    n = InputBox("输入n值")
    pi = 2
    For i = 1 To n
        pi = pi * (2 * i) / (2 * i - 1) * (2 * i) / (2 * i + 1)
    Next i
    Print "当n=" & n & "时,pi="; pi
End Sub

运行程序,点击窗体,运行程序效果图如下:


Visual Basic程序设计教程(第3版) (龚沛曾等编)课后实验源码

打赏 支付宝打赏 微信打赏

来源:济亨网

本文链接:https://www.wb98.com/post/73.html

    << 上一篇 下一篇 >>

    湘公网安备 43011102000514号 - 湘ICP备08100508号